FIGURE

Fig. 5

ID
ZDB-FIG-220409-5
Publication
Monroe et al., 2022 - Identification of novel lipid biomarkers in xmrk- and Myc-induced models of hepatocellular carcinoma in zebrafish
Other Figures
All Figure Page
Back to All Figure Page
Fig. 5

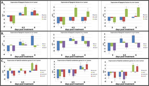
Expression profiles for lipid metabolism genes. The expression of lipogenic factors, enzymes, and lipid β-oxidation genes is altered in x−m+, x+m−, and x+m+ tumors at 3, 4.5, and 6 dpt. A Lipogenic factors expression profiles. B Lipogenic enzyme expression profiles. C Lipid β-oxidation gene expression profiles (see text for gene definitions). N = 3; *p < 0.05

Expression Data
Genes:
Fish:
Condition:
Anatomical Term:
Stage: Adult

Expression Detail
Antibody Labeling
Phenotype Data
Fish:
Condition:
Observed In:
Stage: Adult

Phenotype Detail
Acknowledgments
This image is the copyrighted work of the attributed author or publisher, and ZFIN has permission only to display this image to its users. Additional permissions should be obtained from the applicable author or publisher of the image. Full text @ Cancer Metab