FIGURE

Fig. 4

ID
ZDB-FIG-200722-11
Publication
Schlegel et al., 2019 - A New Zebrafish Model for CACNA2D4-Dysfunction
Other Figures
All Figure Page
Back to All Figure Page
Fig. 4

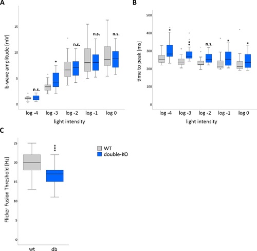
Retinal function of cacna2d4-KO lines at 20 dpf. (A–C) Box and whisker plots of white-light ERG b-wave amplitudes, b-wave kinetics and flicker fusion threshold of 20 dpf WT and double-KO. Bottom and top of the box: the first and third quartile; median, line within the box; whiskers, minimum and maximum values; circles, outliers (1.5 × interquartile distance); small asterisks, extreme outliers (3 × interquartile distance). (A, B) Five flashes (100 ms) of increasing light intensities were applied, starting from dim light (log-4) to 100% light intensity (log0, 24,000 μW/cm2), and responses were grouped accordingly (n = 19 per genotype). (A) b-wave amplitude of the mixed rod-cone response was not attenuated in double-KO. (B) The time from baseline to peak is significantly prolonged in double-KO at almost all light intensities. (C) The flicker fusion threshold is reduced in double-KO under photopic conditions (n = 25 per genotype). Significance levels: *P ≤ 0.05, **P ≤ 0.01, ***P ≤ 0.001.

Expression Data

Expression Detail
Antibody Labeling
Phenotype Data
Fish:
Observed In:
Stage: Days 14-20

Phenotype Detail
Acknowledgments
This image is the copyrighted work of the attributed author or publisher, and ZFIN has permission only to display this image to its users. Additional permissions should be obtained from the applicable author or publisher of the image. Full text @ Invest. Ophthalmol. Vis. Sci.