Creation and validation of the fmr1 mutants using TALEN.

(A) Schematic representation of the zebrafish fmr1 with transcript ENSDART00000123434.3 (15 exons, size: 4413 bp). The data were obtained from Ensembl https://asia.ensembl.org/Danio_rerio/Transcript/Summary?db=core;g=ENSDARG00000037433;r=14:20156477-20191281;t=ENSDART00000123434. The lower panel shows the TALEN constructs. Exon 1 of the fmr1 gene was targeted with the 14-bp spacer (red, underlined) flanked by TALEN arms (blue and green). (B) WT and mutant sequences. The 11 deleted amino-acids (AA) are left blank in the mutant sequence to indicate the comparison with WT. The three following AA in the WT were substituted by AAA (in red) in the mutant sequence. (C) Genotyping data showing the WT and mutants alleles. Highlighted in yellow, the mutation site. Note after TCA, the deletion of 11 amino-acids (Δ11) and the substitution of 3 amino-acids by AAA. Highlighted in light blue, the unchanged regions. (D) Western blot analysis of the adult brains.

EXPRESSION / LABELING:
Antibody:
Fish:
Anatomical Term:
Stage: Adult
PHENOTYPE:
Fish:
Observed In:
Stage: Adult

Locomotor activity during the light-dark test (LDT) in larval ube3a and fmr1 zebrafish.

(A) Representative movement traces of ube3a WT and mutant larvae during alternating light and dark phases (Left panel); Mean distance travelled across all light and dark phases in ube3a WT and mutant larvae by 10-s time bins (Middle panel); Distance travelled (mm) and velocity (mm/s) between WT (N = 12) and mutants (N = 11); unpaired t test. (B) Representative movement traces of fmr1 WT and mutant larvae during alternating light and dark phases (Left panel); Mean distance travelled across all light and dark phases in fmr1 WT and mutant larvae by 10-s time bins (Middle panel); Distance travelled (mm) and velocity (mm/s) between WT (N = 12) and mutants (N = 12); unpaired t test. (C) Genotype: stimulus effect calculated as the dark-light effect per larvae in each genotype; unpaired t tests. The data are presented as boxplots with whiskers (IQR-based). Exact P values are provided in the Figures.

Distances travelled during the light-dark test (LDT) in larval ube3a and fmr1 zebrafish.

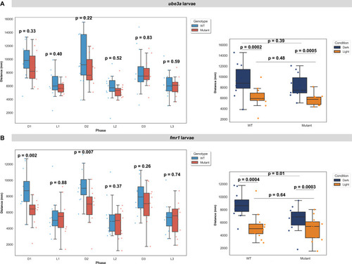
(A) Distribution of distance travelled in ube3a WT (N = 12) and mutant (N = 11) larvae during alternating light and dark phases (Left panel). Distance travelled in the light and dark between ube3a WT and mutants; unpaired t tests (Right panel). (B) Distribution of distance travelled in fmr1 WT (N = 12) and mutant (N = 12) larvae during alternating light and dark phases (Left panel). Distance travelled in the light and dark between fmr1 WT and mutants; unpaired t tests (Right panel). D1 First Dark phase; L1 First Light phase; D2 Second Dark phase; L2 Second Light phase; D3 Third Dark phase and L3 Third Light phase. The data are presented as boxplots with whiskers (IQR-based). Exact P values are provided in the Figures.

Locomotor and anxiety-related behavior during the LDT and novel tank test (NTT) in adult ube3a and fmr1 zebrafish.

(A) Distance travelled, average speed, percentage of time spent in the light and exploration of the lit zone by ube3a WT (N = 15) and mutant (N = 15) adult zebrafish. (B) Distance travelled, average speed, percentage of time spent in the light and exploration of the lit zone by fmr1 WT (N = 14) and mutant (N = 17) adult zebrafish. (C) Distance travelled, number of entries in the top half, latency to first enter and proportion of time spent in the top half of the tank by ube3a WT (N = 12) and mutant (N = 11) adult zebrafish. (D) Distance travelled, number of entries in the top half, latency to first enter and proportion of time spent in the top half of the tank by fmr1 WT (N = 13) and mutant (N = 12) adult zebrafish. Unpaired t tests (A – D). The data are presented as violin plots with individual values. Exact P values are presented in the Figures. Zebrafish drawings were created using BioRender.com.

Neuromuscular junction integrity in larvae and adult ube3a and fmr1 zebrafish.

(A) Representative image of a larvae with dashed lines indicating the analyzed region (Top left panel); Graph representing the number of colocalization puncta per somite between ube3a WT (N = 5) and mutants (N = 6); unpaired t test (Top right panel); Representative confocal pictures of ube3a WT and mutant larvae stained with SV2 antibody (green) and α-bungarotoxin (magenta) (Bottom panel). (B) Representative image of a larvae with dashed lines indicating the analyzed region (Top right panel); Graph representing the number of colocalization puncta per somite between fmr1 WT (N = 6) and mutants (N = 6); unpaired t test (Top right panel); Representative confocal pictures of ffmr1 WT and mutant larvae stained with SV2 antibody (green) and α-bungarotoxin (magenta) (Bottom panel). (C) Representative image of an adult zebrafish with dashed lines indicating the region sectioned for transverse section (Top left panel); Graph representing the number of colocalization puncta per somite between ube3a WT (N = 3) and mutants (N = 3); unpaired t test (Top right panel). Each dot represents an average of 3 different sections; Representative confocal pictures of ube3a WT and mutant adult trunk stained with SV2 antibody (green) and α-bungarotoxin (magenta) (Bottom panel). (D) Representative image of an adult zebrafish with dashed lines indicating the region sectioned for transverse section (Top left panel); Graph representing the number of colocalization puncta per somite between fmr1 WT (N = 3) and mutants (N = 3); unpaired t test (Top right panel). Each dot represents an average of 3 different sections; Representative confocal pictures of fmr1 WT and mutant adult trunk stained with SV2 antibody (green) and α-bungarotoxin (magenta) (Bottom panel). The data are presented as the mean ± SEM. Exact P values are presented in the Figures. Zebrafish drawings were created using BioRender.com.

Comparative expression of potential anxiety and stress-related genes dysregulated in ube3a and fmr1 RNA-seq.

(A) Scatter plot comparing Log2 fold change in RNA-seq data from fmr1 and ube3a adult brains. (B) Scatter plot comparing Log2 fold change in RNA-seq data from fmr1 and ube3a larvae. (C) Scatter plot comparing Log2 fold change in RNA-seq data from fmr1 larvae. (D) Scatter plot comparing Log2 fold change in RNA-seq data from ube3a larvae. (E) Venn diagram comparing differential expressed genes (DEGs) among ube3a adult and larvae and fmr1 adult and larvae. |FC | ≥ 1; p < 0.05 were considered for the analysis. Red circles indicate example genes mentioned in the manuscript. (F – I) KEGG Pathway analysis using SRPlot for ube3a whole larvae (F) and adult brain (G), and fmr1 whole larvae (H) and adult brain (I).

Acknowledgments
This image is the copyrighted work of the attributed author or publisher, and ZFIN has permission only to display this image to its users. Additional permissions should be obtained from the applicable author or publisher of the image. Full text @ Transl Psychiatry