IMAGE

Fig. 3

ID
ZDB-IMAGE-251129-108
Source
Figures for Dougnon et al., 2025
Image
Figure Caption

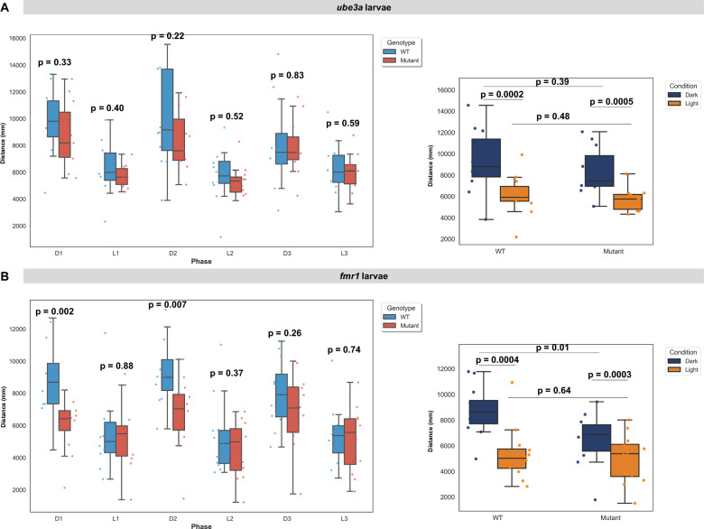
Fig. 3 Distances travelled during the light-dark test (LDT) in larval ube3a and fmr1 zebrafish.

(A) Distribution of distance travelled in ube3a WT (N = 12) and mutant (N = 11) larvae during alternating light and dark phases (Left panel). Distance travelled in the light and dark between ube3a WT and mutants; unpaired t tests (Right panel). (B) Distribution of distance travelled in fmr1 WT (N = 12) and mutant (N = 12) larvae during alternating light and dark phases (Left panel). Distance travelled in the light and dark between fmr1 WT and mutants; unpaired t tests (Right panel). D1 First Dark phase; L1 First Light phase; D2 Second Dark phase; L2 Second Light phase; D3 Third Dark phase and L3 Third Light phase. The data are presented as boxplots with whiskers (IQR-based). Exact P values are provided in the Figures.

Figure Data
Acknowledgments
This image is the copyrighted work of the attributed author or publisher, and ZFIN has permission only to display this image to its users. Additional permissions should be obtained from the applicable author or publisher of the image. Full text @ Transl Psychiatry