FIGURE

Fig. 3

ID
ZDB-FIG-100415-4
Publication
Wang et al., 2009 - Zebrafish beta-adrenergic receptor mRNA expression and control of pigmentation
Other Figures
All Figure Page
Back to All Figure Page
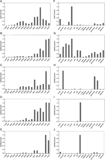
Fig. 3

mRNA expression of zebrafish adrb family in developmental stages and adult tissues. Developmental profiles of gene expression are shown on the right (A–E); relative mRNA expression levels in tissues of zebrafish at 6 mpf are shown on the left (F–J). Six individual zebrafish at 6 mpf were used for organ-specific RNA isolation. SYBR Green-based quantitative real-time PCR was used to quantify the expression levels of adrb family. Relative transcript ratios were determined by normalizing threshold cycles (Ct) values to β-actin expression. Data are presented relative to the value in the most highly expressing time point or tissue.

Expression Data
Genes:
Fish:
Anatomical Terms:
Stage Range: 5-9 somites to Adult

Expression Detail
Antibody Labeling
Phenotype Data

Phenotype Detail
Acknowledgments
This image is the copyrighted work of the attributed author or publisher, and ZFIN has permission only to display this image to its users. Additional permissions should be obtained from the applicable author or publisher of the image.

Reprinted from Gene, 446(1), Wang, Z., Nishimura, Y., Shimada, Y., Umemoto, N., Hirano, M., Zang, L., Oka, T., Sakamoto, C., Kuroyanagi, J., and Tanaka, T., Zebrafish beta-adrenergic receptor mRNA expression and control of pigmentation, 18-27, Copyright (2009) with permission from Elsevier. Full text @ Gene