FIGURE SUMMARY
Title

Chemical Constituents and Anti-Angiogenic Principles from a Marine Algicolous Penicillium sumatraense SC29

Authors
Hsi, H.Y., Wang, S.W., Cheng, C.H., Pang, K.L., Leu, J.Y., Chang, S.H., Lee, Y.T., Kuo, Y.H., Huang, C.Y., Lee, T.H.
Source
Full text @ Molecules

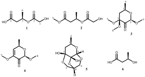
Chemical structures of 16.

Key COSY, HMBC, and NOESY of compounds 15.

Ortep diagram of 5.

Effects of penisterine D (4) on tube formation and cytotoxicity of human EPCs. Cells were treated with the indicated concentrations of penisterine D and sorafenib for 24 h. (A) The inverted phase-contrast microscope was utilized for recording tubular morphogenesis. (B) The tube formation of EPCs was quantified by measuring the length of tubes by Image-J. (C) Cells were treated with 4 for 24 h and cytotoxicity was determined using the LDH assay. Data represent the mean ± SEM. * p < 0.05, compared with the control group.

Penisterine C (3) and penisterine D (4) exert anti-angiogenic capacities in vivo. (A) Representative images of the trunk vasculature in Tg (fli1:EGFP) zebrafish embryos incubated with compounds or sorafenib at 4 days post-fertilization (dpf). Arrows indicate impaired at intersegmental vessel (ISV) and dorsal longitudinal anastomic vessel (DLAV). (B) Quantitative analysis presents percentage of fish embryos incubated with 3 with defective vasculature. ** p < 0.01, and *** p < 0.001 compared with the control group. (C) Quantitative analysis presents percentage of survival rate of fish embryos incubated with 3. (D) Quantitative analysis presents percentage of fish embryos incubated with 4 with defective vasculature. ** p < 0.01 compared with the control group. (E) Quantitative analysis presents percentage of survival rate of fish embryos incubated with 4. The zebrafish treated with 1% DMSO was used as a negative control, and 10 µg/mL sorafenib was used as a positive control.

Maximum parsimonious tree based on sequences of rDNA ITS region. Isolated strain SC29 is highlighted in the grey box.

Acknowledgments
This image is the copyrighted work of the attributed author or publisher, and ZFIN has permission only to display this image to its users. Additional permissions should be obtained from the applicable author or publisher of the image. Full text @ Molecules