IMAGE

Fig. 1

ID
ZDB-IMAGE-230523-1
Source
Figures for Hsi et al., 2022
Image
Figure Caption

Fig. 1

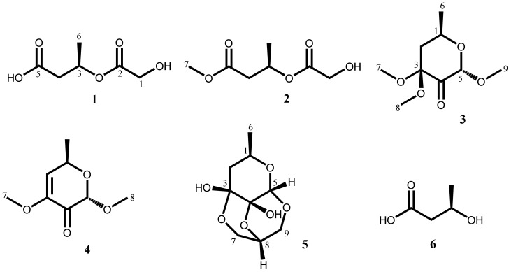
Chemical structures of 16.

Acknowledgments
This image is the copyrighted work of the attributed author or publisher, and ZFIN has permission only to display this image to its users. Additional permissions should be obtained from the applicable author or publisher of the image. Full text @ Molecules