IMAGE

Fig. 5

ID
ZDB-IMAGE-231020-40
Source
Figures for Pannetier et al., 2023
Image
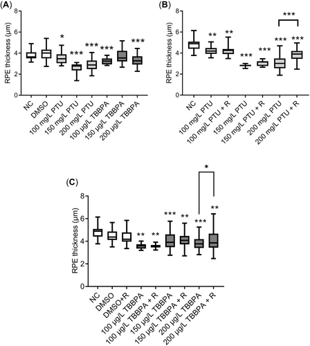
Figure Caption

Fig. 5 Retinal pigment epithelium thickness of zebrafish larvae at 5 days postfertilization (dpf; A) and 8 dpf after exposure with or without recovery phase to propylthiouracil (B) and tetrabromobisphenol A (C). Data given as means ± SEM for n = 4 replicates (10–15 individuals). Statistically significant differences from the negative control or between continued exposure and recovery groups: *p < 0.05, **p < 0.01, ***p < 0.001. RPE = retinal pigment epithelium; NC = negative control (water); DMSO = dimethyl sulfoxide (solvent control, 0.002%); PTU = propylthiouracil; TBBPA = tetrabromobisphenol A; R = recovery (5-day exposure with the respective concentration and a 3-day recovery in clean water).

Acknowledgments
This image is the copyrighted work of the attributed author or publisher, and ZFIN has permission only to display this image to its users. Additional permissions should be obtained from the applicable author or publisher of the image. Full text @ Environ. Toxicol. Chem.