IMAGE

Figure 1

ID
ZDB-IMAGE-200811-41
Source
Figures for Imperatore et al., 2020
Image
Figure Caption

Figure 1

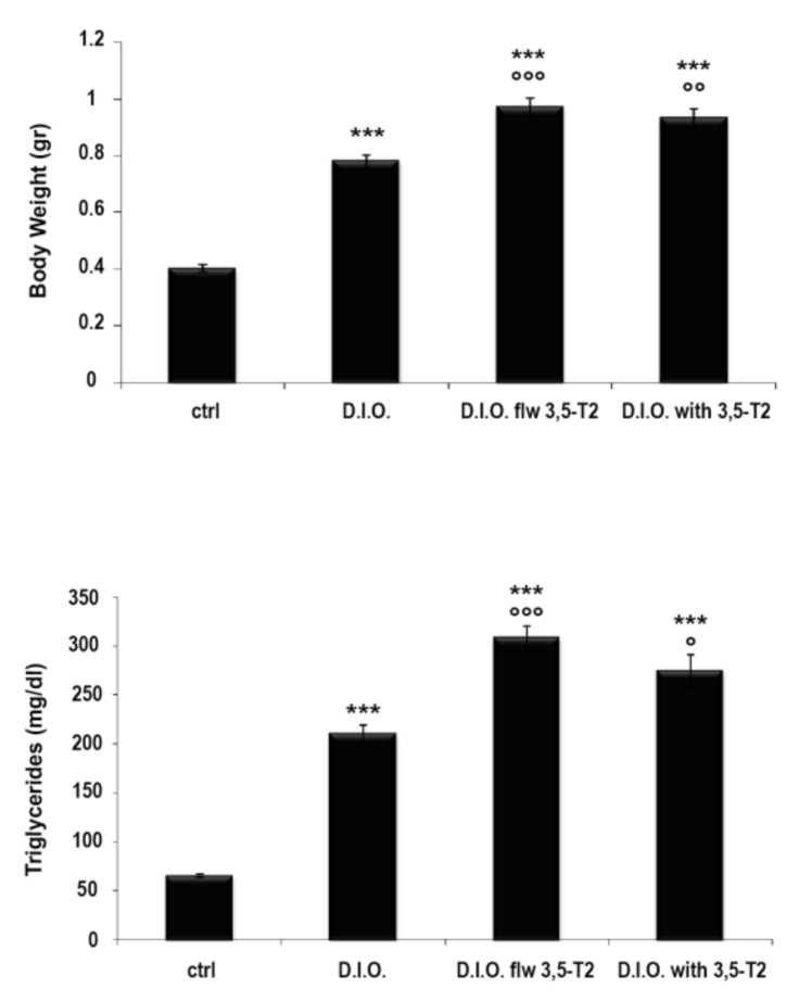
3,5-T2 effect on the body weight and triglyceride levels. ctrl (control zebrafish), D.I.O. (diet-induced obesity zebrafish), D.I.O. flw 3,5–T2 (D.I.O. zebrafish followed by 3,5–T2), D.I.O. with 3,5–T2 (D.I.O. zebrafish treated with 3,5–T2). Data are expressed as mean ± SE. *** p < 0.0001 compared to the control group; °°° p < 0.0001, °° p < 0.0001, and ° p < 0.05 compared to D.I.O.

Acknowledgments
This image is the copyrighted work of the attributed author or publisher, and ZFIN has permission only to display this image to its users. Additional permissions should be obtained from the applicable author or publisher of the image. Full text @ Animals (Basel)