FIGURE
Fig. 1
- ID
- ZDB-FIG-250728-74
- Publication
- Gregory-Evans et al., 2025 - Mutation of beta-tubulin 4B gene (TUBB4B) causes autosomal dominant retinitis pigmentosa with sensorineural hearing loss in a multigenerational family
- Other Figures
- All Figure Page
- Back to All Figure Page
Fig. 1
|
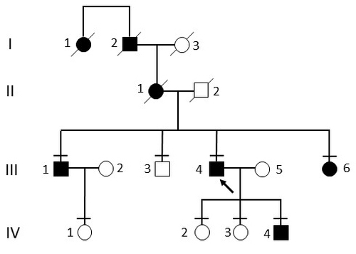
Four-generation family tree segregating autosomal dominant hearing loss and RP. The black symbols represent affected individuals and white symbols represent unaffected individuals. The arrow indicates the proband patient. The line above the symbols denotes family members who were examined. The first two generations were reported by proband as deaf-blind but were not examined or genetically tested. |
Expression Data
Expression Detail
Antibody Labeling
Phenotype Data
Phenotype Detail
Acknowledgments
This image is the copyrighted work of the attributed author or publisher, and
ZFIN has permission only to display this image to its users.
Additional permissions should be obtained from the applicable author or publisher of the image.