FIGURE
Fig. 4
- ID
- ZDB-FIG-220516-53
- Publication
- Thiagarajan et al., 2022 - Receptor-Mediated AKT/PI3K Signalling and Behavioural Alterations in Zebrafish Larvae Reveal Association between Schizophrenia and Opioid Use Disorder
- Other Figures
- All Figure Page
- Back to All Figure Page
Fig. 4
|
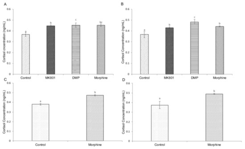
Figure 4. Effects of (A) short-term (F (3,32) = 22.035, p < 0.001) and (B) long-term (F (3,32) = 108.164, p < 0.001) exposure to MK801, DMP and morphine, and (C) short-term (t (16) = 12.465, p = 0.003) (D) and long-term (t (16) = 9.964, p = 0.029) morphine withdrawal on whole-body cAMP concentration (ng/mL) in zebrafish larvae. Data expressed as mean ± SEM, n = 50 of 3 independent experiments. Different lowercase letters indicate statistically significant values, p < 0.05. DMP: domperidone.
|
Expression Data
Expression Detail
Antibody Labeling
Phenotype Data
Phenotype Detail
Acknowledgments
This image is the copyrighted work of the attributed author or publisher, and
ZFIN has permission only to display this image to its users.
Additional permissions should be obtained from the applicable author or publisher of the image.
Full text @ Int. J. Mol. Sci.