- Title
 - 
    
        
                    
Marine-Fungus-Derived Natural Compound 4-Hydroxyphenylacetic Acid Induces Autophagy to Exert Antithrombotic Effects in Zebrafish
 - Authors
 - Xin, S., Zhang, M., Li, P., Wang, L., Zhang, X., Zhang, S., Mu, Z., Lin, H., Li, X., Liu, K.
 - Source
 - Full text @ Mar. Drugs
 
| 
            
    
    
    
            
            
            
            
                
                    
                    
                        
                        
                        
                            
                            
 
 (  | 
    
| 
            
    
    
    
            
            
            
            
                
                    
                    
                        
                        
                        
                            
                            
 
 Observation of 72 hpf zebrafish larvae exposed to HPA for 6 h. (  | 
    
| 
            
    
    
    
            
            
            
            
                
                    
                    
                        
                        
                        
                            
                            
 
 Reduction of caudal thrombus in zebrafish treated with HPA. (  | 
    
| 
            
    
    
    
            
            
            
            
                
                    
                    
                        
                        
                        
                            
                            
 
 Increase in cardiac erythrocytes in zebrafish treated with HPA. (  | 
    
| 
            
    
    
    
            
            
            
            
                
                    
                    
                        
                        
                        
                            
                            
 
 Reduction in the AA-induced inflammatory response in zebrafish treated with HPA. (  | 
    
| 
            
    
    
    
            
            
            
            
                
                    
                    
                        
                        
                        
                            
                            
 
 Improvement in caudal blood flow velocity and heart rate in zebrafish treated with HPA. (  | 
    
| 
            
    
    
    
            
            
            
            
                
                    
                    
                        
                        
                        
                            
                            
 
 Differentially expressed genes (DEGs) in zebrafish. (  | 
    
| 
            
    
    
    
            
            
            
            
                
                    
                    
                        
                        
                        
                            
                            
 
 GO enrichment analysis results of 191 DEGs obtained from screening. BP in red: biological processes, CC in green: cellular composition, MF in blue: molecular function.  | 
    
| 
            
    
    
    
            
            
            
            
                
                    
                    
                        
                        
                        
                            
                            
 
 KEGG enrichment analysis results of 191 DEGs obtained from screening.  | 
    
| 
            
    
    
    
            
            
            
            
                
                    
                    
                        
                        
                        
                            
                            
 
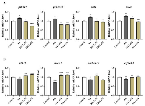
 The results of qRT–PCR analysis. Quantitative analysis of the mRNA expression levels of genes associated with (  |