IMAGE

Figure 4

ID
ZDB-IMAGE-230217-36
Source
Figures for Colella et al., 2023
Image
Figure Caption

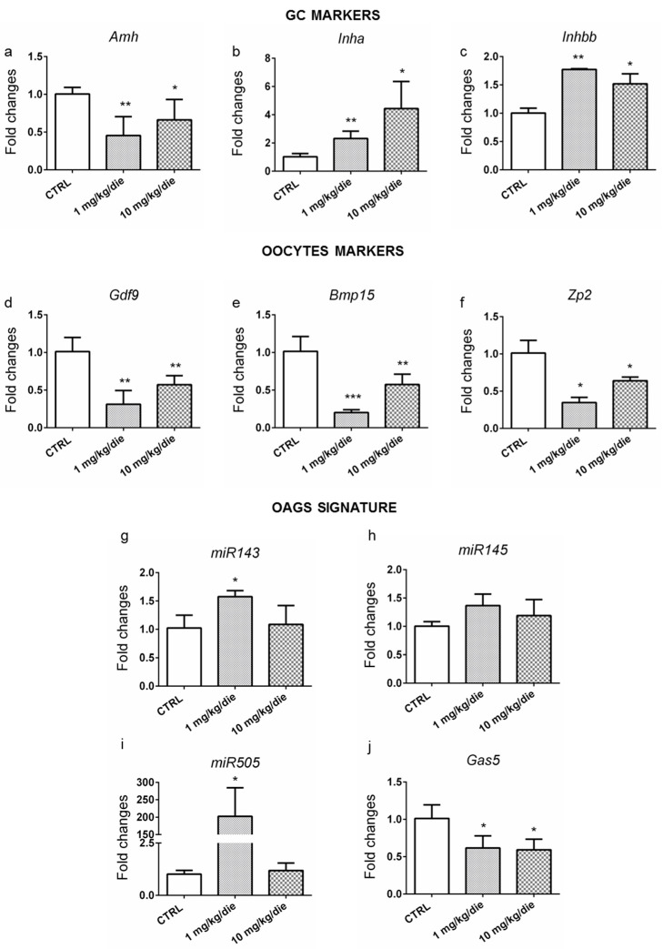
Figure 4

Developmental and life-long exposure to CPF affects OAGS in mice. (af) RT-qPCR analyses of the levels of markers of granulosa cells (Amh, Inha, and Inhbb) and markers of oocytes (Gdf9, Bmp15, and Zp2). (gj) OAGS genes (miR143, miR145, miR505, and Gas5) were verified by RT-qPCR. RT-qPCR tests were performed on five biological samples (n = 5 ovaries/group). Data are reported as fold change values calculated as a ratio between average relative gene expression in exposed and control ovaries after normalization on β-actin mRNA (U6 for miRNA). Significant differences are indicated with * p < 0.05, ** p < 0.01 and *** p < 0.001 using Student’s t-test.

Acknowledgments
This image is the copyrighted work of the attributed author or publisher, and ZFIN has permission only to display this image to its users. Additional permissions should be obtained from the applicable author or publisher of the image. Full text @ Int. J. Mol. Sci.