IMAGE

Figure 1

ID
ZDB-IMAGE-221214-87
Source
Figures for Wang et al., 2022
Image
Figure Caption

Figure 1

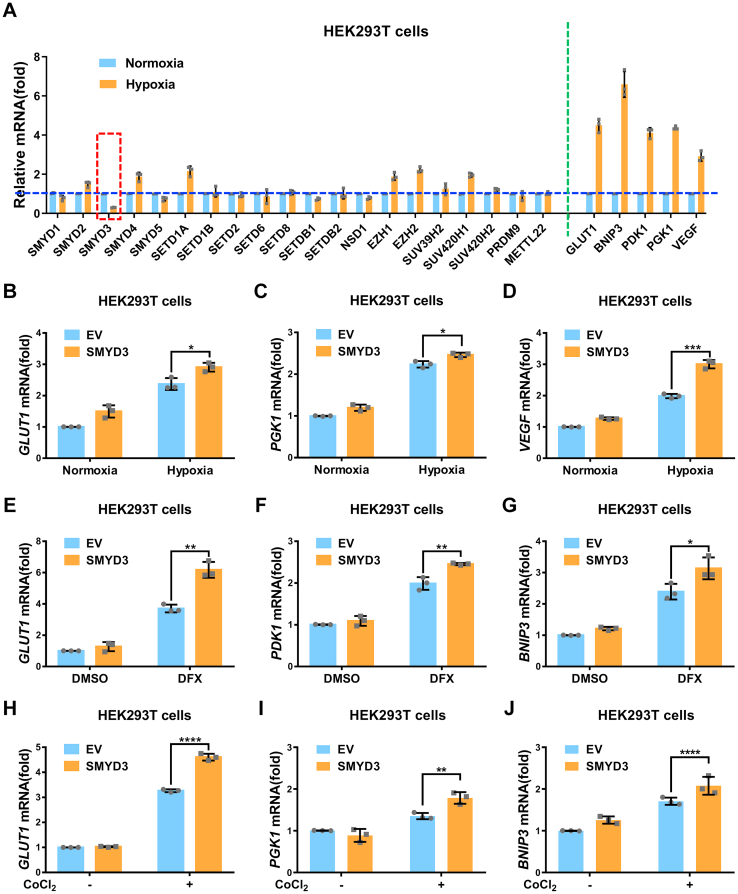
SMYD3 augments hypoxia signaling. A, quantitative real-time PCR (qPCR) analysis of mRNA levels of indicated lysine methyltransferase genes and hypoxia signaling target genes in HEK293T cells under normoxia (21% O2) or hypoxia (1% O2) for 24 h. BD, qPCR analysis of GLUT1 (B), PGK1 (C), and VEGF (D) mRNA in HEK293T cells transfected with or without pCMV-SMYD3 under normoxia (21% O2) or hypoxia (1% O2) for 24 h. EG, qPCR analysis of GLUT1 (E), PDK1 (F), and BNIP3 (G) mRNA in HEK293T cells transfected with or without pCMV-SMYD3 and treated with DFX (150 μM) or DMSO as a control for 8 h. H–J, qPCR analysis of GLUT1 (H), PGK1 (I), and BNIP3 (J) mRNA in HEK293T cells transfected with or without pCMV-SMYD3 and treated with or without CoCl2 (200 μM) for 8 h. EV, pCMV empty vector (control). Data show mean ± SD; Student’s two-tailed t test. ∗p < 0.05, ∗∗p < 0.01, ∗∗∗p < 0.001, ∗∗∗∗p < 0.0001. Data from three independent experiments.

Acknowledgments
This image is the copyrighted work of the attributed author or publisher, and ZFIN has permission only to display this image to its users. Additional permissions should be obtained from the applicable author or publisher of the image. Full text @ J. Biol. Chem.