Image
                    
                    
                
                
            
        
        
    
        
            
            
        
        
    
    
    
                
                    
                        Figure Caption
                    
                    
                
                
            
        
        
    
        
            
            
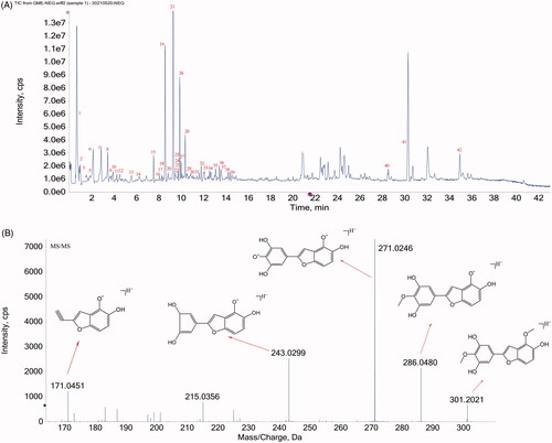
Fig. 1 Figure 1. The phytochemical profile of GME using HPLC-Q-TOF-MS/MS. (A) The base peak chromatogram of GME by LC–MS in negative mode. (B) The secondary fragment ion of gnetifolin A.
                
                    
                        Acknowledgments
                    
                    
                
                
            
        
        
    
        
            
            
                
                    
                        
This image is the copyrighted work of the attributed author or publisher, and
ZFIN has permission only to display this image to its users.
Additional permissions should be obtained from the applicable author or publisher of the image.
      Full text @ Pharm Biol
                    
                    
                
            
        
        
    
    
     
        